城鎮污水處理廠格柵間及進水泵房、調節池、厭氧池、曝氣沉砂池和脫水機房等構筑物中的污水,或長期處于厭氧狀態,或由于污染物濃度大而不以污染物降解為目的的工藝單元曝氣不充分,散發出極強的惡臭氣味。而隨著城市化進程推進,最初建于城市郊區的污水處理廠,其周圍也逐漸出現住宅和商業區。為了改善環境大氣質量,《城鎮污水處理廠污染物排放標準》(GB189182002)中規定了從2006年1月1日起所有已建和新改擴建污水廠防護帶邊緣廢氣排放的最高允許濃度,污水廠須配套建設除臭工程。目前幾乎所有已建和在建的除臭工程都采用了分散收集后集中處理辦法。而惡臭氣體的收集系統設計過程涉及給排水、暖通和環境三個專業的知識,初涉除臭領域的設計人員往往頗感棘手,筆者綜合3年來從事除臭系統設計工作的經驗,撰此文以供同行指點、探討。
1廢氣收集方式
分散收集做法的本質是對含有惡臭氣體的空間進行通風換氣,以新鮮空氣稀釋惡臭氣體,降低空間內的惡臭物質濃度并維持氣壓平衡的同時,將惡臭物質帶入通風管路。依據對空間進行通風換氣的范圍不同,可將廢氣收集方式分為全面通風和局部通風。
1.1全面通風
全面通風是指對含惡臭氣體的整個空問進行通風換氣,適用于設備數量很少且無需經常性巡視或操作的面污染源。對于調節池、厭氧池以及某些地下水池而言,惡臭氣體從整個水面均勻散發出來,須預先對其加罩密閉,然后在罩上設置一定數量的吸風口、觀察窗、檢修孔和補氣孔,以便吸走臭氣、巡視、檢修和自然補氣維持罩內氣壓平衡。全面通風的優點是對惡臭氣體擴散的控制效果好,達到同樣控制效果所需廢氣流量遠小于局部通風,但也存在進出密閉罩不夠方便的缺點。
1.2局部通風
局部通風是指對含惡臭氣體空間的某個局部進行換氣,適用于點污染源和線污染源在格柵間和進水泵房、脫水機房,惡臭主要從格柵和進水渠、污泥脫水機散發出來,而格柵和脫水機均需要經常性檢視和操作,架設密閉罩顯然不方便。而格柵間和脫水機房通常空間較大,在房間墻壁上安裝吸風口來通風的做法,所需廢氣量大不說,控制惡臭擴散的效果也往往不理想。可在格柵和脫水機的上方分別架設傘形集氣罩,通過傘形罩對氣流的誘導控制作用防止惡臭擴散。
對于曝氣沉砂池,從平面特征來看屬于面污染源。但是由于池面上有刮泥機往復運動,且需經常性檢視操作,因此也不適于架設密閉罩。可采用槽邊式外部集氣罩,沿池長方向在水面附近雙側布設一定數量吸風口,通過風力誘導作用防止惡臭擴散。
2廢氣量計算
2.1按換氣次數計算
適用于全面通風方式,通常,對于無人進出的空間換氣次數取1~2次/小時,對于偶然有人進出的空間換氣次數取2~4次/小時,在偶發情況下,有人進入空間對設備進行維護檢修時,應使用備用的軸流風機,按照10~12次/小時的氣量對空間進行換氣,軸流風機排出的廢氣可不經過除臭設備直接排空。對于某些往污水中鼓氣的工藝單元,如空氣攪拌的調節池,廢氣量還需要加上鼓氣量。
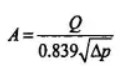
2.2補氣口面積計算及定位原則
對于架設密閉罩的全面通風方式,補氣口面積取值適當既可以防止惡臭氣體外泄又不
至于過分增加通風系統阻力,可按如下經驗公式計算。

式中
A一補氣口面積
Q廢氣量,m3/s
△P密閉罩內外壓差,建議20~30Pa
補氣口位置應遠離吸氣口,以使抽吸氣流能夠最大限度地誘導惡臭氣體為原則。如吸
氣口位于密閉罩的左上方,則補氣口應置于密閉罩的右下方。
2.3按控制流速計算
對于采用上部集氣罩或者槽邊集氣罩的局部通風方式廢氣流量取決于控制斷面的流速對于上部集氣罩,廢氣流量計算公式如下。
Q=kLHVx
式中
L一罩口敞開面的周長,m;
F罩口至污染源的距離,m;
Vx敞開斷面處流速,取025m/s;
k考慮沿高度速度分布不均勻的安全系數,常取14
對于槽邊集氣罩,廢氣流量計算公式如下:

式中
L—槽長,m;
B槽寬,m;
Vx控制風速,取0.25m/s
污水處理站除臭通風管路設計
31材質選擇
污水處理廠悉臭氣體通常濕度較大且有腐蝕性,供暖通風工程中常用的鋼板、木板在此處不再適合。實際工程中最多采用的是玻璃鋼風管,其具有強度高、抗腐蝕、耐老化密度小,制作安裝方便的特點。對于距離較短、管徑較小且室內使用的情況,也可采用塑料管。
3.2管徑設計
管徑設計應兼顧技術和經濟兩個方面,在不會產生過大沿程阻力的前提下,盡量選擇小的管徑。一般工業通風管道內的風速干管取6~14ms,支管取2~8ms2,對于同樣的流速,管徑大時沿程阻力要比管徑小時小,因干管流量較大,故可取較大的風速。
3.3合理配置風量調節閥和風機數量
如前所述污水廠惡臭氣體來自不同單元,確定了各單元的廢氣量之后如何精確實現成為一個非常現實的問題。為不同單元單獨配備風機和除臭設備的做法固然靈活性好,但也存在著增加基建成本的缺陷。將多個單元串聯起來,共用一臺風機和除臭設備時,可以通過合理確定通風管管徑并在每個單元吸風口處設置風量調節閥來實現設計的通風量。由于廢氣流量通常較大,流速多以水平或向下為主,轉子流量計不再適用,可以用畢托管式風速儀測量每個單元主風管內的氣流速度
4總結
污水處理廠除臭工程廢氣收集系統大體上可分為全面通風和局部通風,前者對惡臭氣體的擴散控制效果好,后者更方便人員靠近設備進行維護。對于全面通風,廢氣量一般按照對密閉空間的換氣次數確定,而對于局部通風,廢氣量主要由控制斷面的風速確定。通風管路系統涉及管材和管徑的確定,合理設置風機和風量調節閥有助于實現對既定廢氣量的精確實現。
煙臺盛澤環保污水站處理除臭

制藥廠污水處理站除臭

制藥廠污水處理站除臭設備